發布日期:2021-10-06 14:30:16 | 關注:4241
高頻板射頻信號可以通過無線信道傳輸,即自由空間傳輸,也可以通過有線信道傳輸,即傳輸線傳輸。微波傳輸線在射頻系統中起著非常重要的作用。利用微波傳輸線,不僅可以有效地傳遞微波信號,而且通過恰當的設計,還可以構成各種微波器件,(高頻板)微波電路和天線。常見的導波系統有規則傳輸線(如平行雙線、同軸線)、金屬波導(如矩形波導、圓波導)和表面波波導(如微帶線)。
大多數實用的波導結構都是單模傳輸。因此,可以根據縱向場分量Ez和Hz的存在與否,高頻(高頻板)對波導中傳播的電磁波進行如下分類:
橫電波,又稱為TE波:Ez=0,Hz≠0
橫磁波,又稱為TM波:Ez≠0,Hz=0
橫電磁波,又稱為TEM波:Ez=0,Hz=0
混合波:Ez≠0,Hz≠0
而根據傳輸線還可以依據不同的極化方式進行分類,如下圖所示。TEM波是同軸線和平行板傳輸線的主要傳輸方式。TE和TM波則通常出現在矩形、圓形、橢圓形或脊狀波導中。除了TEM、TE或TM模式外,混合波還包含電場和磁場的所有六個分量(Ex、Ey、Ez、Hx、Hy、Hz)。而混合波主要在微帶(MS)傳輸線、槽線(SL)和共面波導(CPW)結構中傳輸。

圖1傳輸線分類
而這其中,(高頻板)現代微波電路和系統中最常用的三種傳輸線:同軸線,矩形波導和微帶線,分別有著不同的優缺點,如表1所示。可以看出,波導更適合于雷達和類似的(高頻板)的高頻/高功率的應用場景,在這些應用中,它們的物理尺寸不會成為障礙;相對于的,同軸線和微帶線在高頻的損耗要相對的高;而對于集成度和尺寸都嚴格要求的情況下,例如手機,手持接收機和一些固態、大功率放大模塊等,(高頻板)微帶線則是首選。

表1常用(高頻板)射頻導波傳輸系統的對比
下面就針對這幾種典型的傳輸線的工作原理以及類型做個簡單介紹:
同軸傳輸線
同軸線是將信號從源頭傳輸到終端使用的最常用的設備,它是在傳輸過程中用連接器將電纜、信號源、終端連接到一起。在射頻同軸電纜中,電磁波的傳播模式是TEM模,即電場與磁場方向均與傳播方向垂直,如圖2所示,同軸電纜由內導體、介質、外導體和護套組成。

圖2同軸線的剖面示意圖(左),分解示意圖(右)
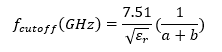
而同軸線的截止頻率,可以通過下列公式計算得到:

在截止頻率以內,信號都以TEM波的形式傳播。而且由截止頻率計算公式可以看出,同軸線的內外導體尺寸決定了截止頻率,同時,一般來說尺寸(軸向)越小的同軸線,傳輸頻率越高。
而同軸線的另外一個重要參數是特征阻抗。實際上,同軸電纜的阻抗有25Ω,50Ω,75Ω,93Ω等,但在絕大數場合,都選用50Ω作為標準,這是為什么呢?
對于空氣介質同軸電纜,為使損耗最小,要求外導體內徑與內導體外徑的最佳比值為3.6,對應的阻抗Z0為77Ω。而最大功率容量時,外導體內徑與內徑導體之比應為1.65,對應的阻抗Z0為30Ω。所以,50Ω的阻抗標準是一個綜合的考慮,即是同軸電纜最小損耗和最大功率容量之間的折中值。
與同軸線緊密相連的高頻板射頻和高頻板微波同軸連接器的發明,要追溯到第二次世界大戰期間的20世紀40年代,隨著高頻板雷達和各種無線電通信設備的誕生,最早出現了N和BNC等連接器。如圖下表,羅列了常用的射頻同軸連接器的主要電氣參數。
表2常用高頻板射頻同軸連接器的電氣參數表

矩形導波中可以出現各種TM模和TE模,以及線性組合。當工作波長小于各種模式的截止波長,或者工作頻率大于各種模式的截止頻率時,這些模式都是傳輸模,因而波導可以形成多模傳輸。
高頻板(高頻線路板/高頻電路板)矩形波導的截止頻率為:
截止頻率不僅與波型和波導尺寸有關,還與高頻板波導中所填充的介質有關。
波導管的優點是導體損耗和介質損耗小;功率容量大;沒有輻射損耗;結構簡單,易于制造。從應用的角度看,描述高頻板波導的特征參數有以下四點:
色散特性:色散特性表示波導縱向傳播常數與頻率的關系。與普通傳輸線不同,波導里不能傳輸TEM模,電磁波在傳輸過程中存在嚴重的色散現象,色散現象說明電磁波的傳播速度與頻率有關。
特性阻抗:特征阻抗Z在幅值上反映波導橫向電場與橫向磁場之比。當不同波導連接時,特征阻抗越接近,連接處的反射越小。波導的特征阻抗是量度連接處對電磁能反射大小的一個很有用的參量。
損耗:損耗是限制波導遠距離傳輸電磁波的主要因素。
場分布:滿足波導橫截面邊界條件的一種可能的場分布稱為波導的模式,不同的模式有不同的場結構,它們都滿足波導橫截面的邊界條件,可以獨立存在。
波導傳輸線
在電磁學和通信工程中,波導這個詞可以指在它的端點間傳遞電磁波的任何線性結構。但最初和最常見的意思是指用來傳輸無線電波的空心金屬管。這種波導主要用作微波頻率的傳輸線,在微波爐、雷達、通訊衛星和微波無線電鏈路設備中用來將微波發送器和接收機與它們的天線連接起來。
一般來說波導主要有兩大類,金屬波導和介質波導兩種。金屬波導一般就是指空心金屬管,根據波導截面形狀不同,可分為矩形波導、圓波導等。目前,在實際應用中,矩形波導和圓波導仍是兩種最主要的波導方式。

圖4常見的波導類型
高頻板矩形導波中可以出現各種TM模和TE模,以及線性組合。當工作波長小于各種模式的截止波長,或者工作頻率大于各種模式的截止頻率時,這些模式都是傳輸模,因而波導可以形成多模傳輸。
矩形波導的截止頻率為:
截止頻率不僅與波型和波導尺寸有關,還與波導中所填充的介質有關。
波導管的優點是導體損耗和介質損耗小;功率容量大;沒有輻射損耗;結構簡單,易于制造。從應用的角度看,描述波導的特征參數有以下四點:
色散特性:色散特性表示波導縱向傳播常數與頻率的關系。與普通傳輸線不同,波導里不能傳輸TEM模,電磁波在傳輸過程中存在嚴重的色散現象,色散現象說明電磁波的傳播速度與頻率有關。
特性阻抗:特征阻抗Z在幅值上反映波導橫向電場與橫向磁場之比。當不同波導連接時,特征阻抗越接近,連接處的反射越小。波導的特征阻抗是量度連接處對電磁能反射大小的一個很有用的參量。
損耗:損耗是限制波導遠距離傳輸電磁波的主要因素。
場分布:滿足波導橫截面邊界條件的一種可能的場分布稱為波導的模式,不同的模式有不同的場結構,它們都滿足波導橫截面的邊界條件,可以獨立存在。

表3常用標準矩形波導管規格標準對照表
微帶傳輸線
高頻板微帶傳輸線是由支在介質基片上的單一導體帶構成的高頻板微波傳輸線。適合制作微波集成電路的平面結構傳輸線。與金屬波導相比,其體積小、重量輕、使用頻帶寬、可靠性高和制造成本低等優點;但其缺點是損耗稍大,功率容量小。60年代前期,由于微波低損耗介質材料和微波半導體器件的發展,形成了微波集成電路,使微帶線得到廣泛應用,相繼出現了各種類型的微帶線。

圖5微帶線結構示意圖
高頻板共面波導的結構類似于微帶線,是在微帶線的金屬導線兩側加上接地板,而在介質基片的地面沒有接板,如下圖所示:

圖6共面波導傳輸線結構示意圖
高頻板(高頻線路板/高頻電路板)共面波導作為一種性能優越、加工方便的微波平面傳輸線,在MMIC電路中正發揮越來越大的作用,尤其到了毫米波頻段,高頻板的共面波導更擁有微帶線所不可比擬的性能優勢。與常規的微帶傳輸線相比,共面波導具有容易制作,容易實現無源、有源器件在微波電路中的串聯和并聯(不需要在基片上穿孔),容易提高電路密度等優點。
總結
同軸線適合傳輸信號功率不大,對傳輸線損耗要求不高的場合。
波導傳輸射頻信號的優點是功率容量大、損耗低,特別適合波長在10cm以上的波段。它的缺點是體積大、重量大,不利于集成。
微帶線可以用光刻工藝制作,其體積小、重量輕、使用頻帶寬、可靠性高和制造成本低等優點,尤其是易于集成的優點,使其廣泛應用于印刷電路板中。其缺點也比較明顯,損耗稍大,功率容量小。
深圳市明誠鑫電路科技有限公司多年從事高頻微波射頻線路板(高頻板/高頻線路板/高頻電路板),對于微波雷達、射頻天線、微波天線等有專業的生產經驗,公司常年備有進口和國產板材,板材有:Rogers羅杰斯、泰康尼克、中英、F4B/TP-2旺靈板材,介電常數2.2-16不等,可及時為您提供最優質的服務。13723490391 鐘小姐(微信同號)